[Python] BFS(너비 우선 탐색), DFS(깊이 우선 탐색)
2023. 2. 3. 00:45

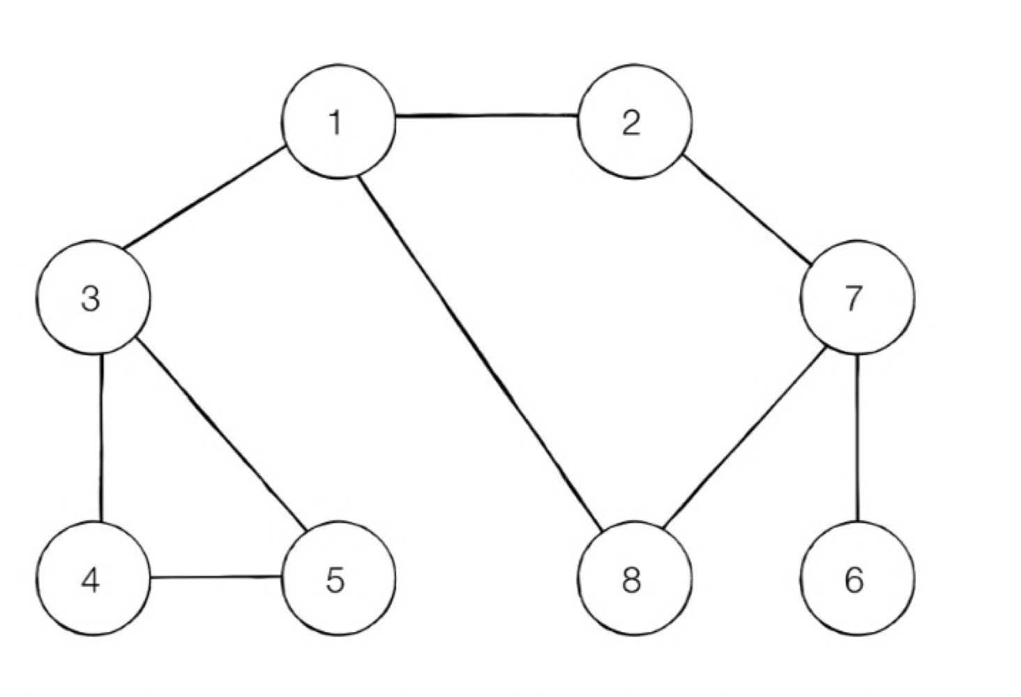
BFS : 1 - 2 - 3 - 8 - 7 - 4 - 5 - 6
DFS : 1 - 2 - 7 - 6 - 8 - 3 - 4 - 5
| BFS ( 넓이 우선 탐색 ) | DFS ( 깊이 우선 탐색 ) | |
| 동작 원리 | 큐 | 스택 |
| 구현 | 큐 자료구조 | 재귀 함수 |
| 문제 | 길 찾기 | 구역 개수 찾기 |
| Tip | while queue 상하좌우 이동 |
재귀 함수 탈출 조건 상하좌우 재귀 이중 for |
| dx = [-1, 1, 0, 0] dy = [0, 0, -1, 1] |
상 : x-1, y 하 : x+1, y 좌 : x, y-1 우 : x, y+1 |
|
| 범위 제어 (1, 1) 시작 : x < 0 or y < 0 or x >= n or y >= m (0, 0) 시작 : x <= -1 or y <= -1 or x >= n or y >= m |
||
미로 찾기
import sys
from collections import deque
input = sys.stdin.readline
n, m = map(int, input().split())
maze = []
for _ in range(n):
maze.append(list(map(int, input().rstrip())))
dx = [-1, 1, 0, 0]
dy = [0, 0, -1, 1]
def bfs(x, y):
queue = deque()
queue.append((x, y))
while queue:
x, y = queue.popleft()
for i in range(4):
nx = x + dx[i]
ny = y + dy[i]
if nx < 0 or ny < 0 or nx >= n or ny >= m:
continue
if maze[nx][ny] == 0:
continue
if maze[nx][ny] == 1:
maze[nx][ny] = maze[x][y] + 1
queue.append((nx, ny))
return maze[n-1][m-1]
print(bfs(0, 0))

음료수 얼려먹기
import sys
input = sys.stdin.readline
n, m = map(int, input().split())
graph = []
for _ in range(n):
graph.append(list(map(int, input().rstrip())))
def dfs(x, y):
if x <= -1 or y <= -1 or x >=n or y >= m:
return False
if graph[x][y] == 0:
graph[x][y] = 1
dfs(x-1, y)
dfs(x+1, y)
dfs(x, y-1)
dfs(x, y+1)
return True
return False
result = 0
for i in range(n):
for j in range(m):
if dfs(i, j) == True:
result += 1
print(result)

'알고리즘 > 탐색' 카테고리의 다른 글
| [Python] 이진 탐색 (0) | 2023.02.05 |
|---|